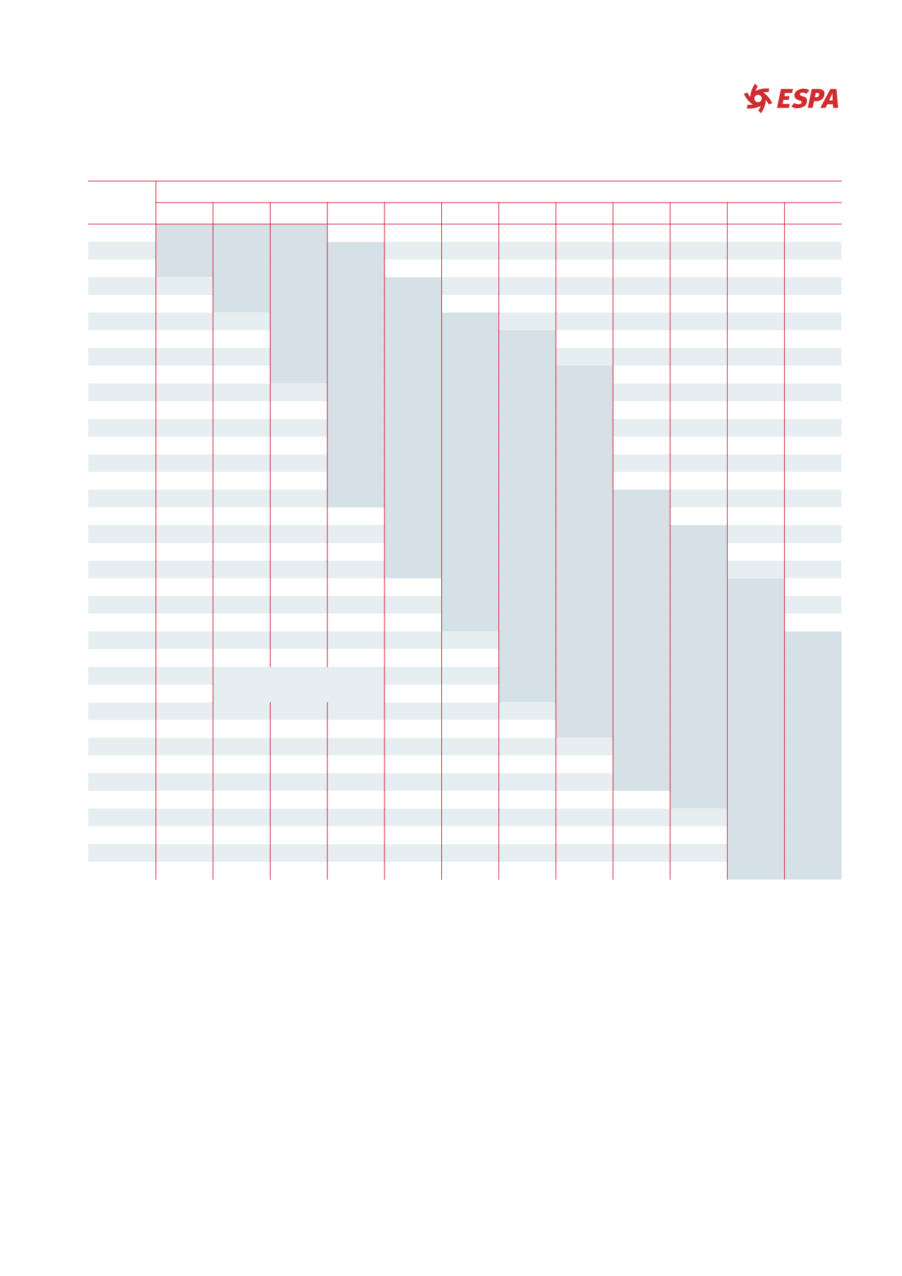
137
Ábaco de perda de carga
Tubagens lisas de PVC/PE
l/h
Em Ø da tubagem [mm]
14
19
25
32
38
50
63
75
89
100
125
150
500
8,9
2,1
0,6
800
20,2
4,7
1,3
0,4
1.000
29,8
7
1,9
0,6
1.500
14,2
3,9
1,2
0,5
2.000
23,5
6,4
2
0,9
2.500
9,4
2,9
1,3
0,4
3.000
13
4
1,8
0,5
0,2
3.500
17
5,3
2,3
0,6
0,2
4.000
21,5
6,6
2,9
0,8
0,3
0,1
4.500
8,2
3,6
1
0,3
0,1
5.000
9,8
4,3
1,2
0,4
0,2
5.500
11,6
5,1
1,4
0,5
0,2
6.000
13,5
6
1,6
0,5
0,2
6.500
15,5
6,9
1,9
0,6
0,3
7.000
17,7
7,8
2,1
0,7
0,3
8.000
22,4
9,9
2,7
0,9
0,4
0,2
9.000
12,1
3,3
1,1
0,5
0,2
10.000
14,6
4
1,3
0,6
0,3
0,1
12.000
20,1
5,5
1,8
0,8
0,4
0,2
15.000
29,7
8,1
2,7
1,2
0,5
0,3
18.000
11,1
3,7
1,6
0,7
0,4
0,1
20.000
13,3
4,5
1,9
0,9
0,5
0,2
25.000
19,7
6,6
2,9
1,3
0,7
0,3
30.000
9
4
1,8
1
0,3
0,1
35.000
11,8
5,2
2,3
1,3
0,5
0,2
40.000
Metros de perda de carga por cada 100 m
de tubagem nova e recta
15
6,5
2,9
1,7
0,6
0,2
45.000
18,4
8
3,6
2
0,7
0,3
50.000
9,7
4,3
2,5
0,9
0,4
60.000
13,3
5,9
3,4
1,2
0,5
70.000
7,7
4,4
1,5
0,6
80.000
10,4
5,6
1,9
0,8
90.000
12,9
7,3
2,4
1
100.000
8,9
2,9
1,2
125.000
4,5
1,8
150.000
6,3
2,6
175.000
8,4
3,5
200.000
10,7
4,4




